Шымкент қаласының білім басқармасының
"Н.Оңдасынов атындағы №38 мектеп-гимназиясы"
шаруашылық жүргізу құқығындағы мемлекеттік коммуналдық кәсіпорны
Қабылдау бөлімі :
+7(771) 51-02-534
Есепші бөлімі:
+7(771) 51-02-534
@mail.ru
Нашар көрушілер
нұсқасы
Кіру
Қазақша
|
Русский
kitaphana.edu.kz
digitallibrary.kz
bookfund.kz
Басты
Қала әкімдігі
kitaphana.edu.kz
Онлайн тест
Робототехника
Ақпарат
Аттестация
Оқушылардың оқу жүктемесінің ең жоғарғы көлемі
Бастауыш, негізгі, жалпы орта білім беру мазмұны
Оқушылардың дайындық деңгейі туралы
Оқу мерзімі туралы
Мектептің құрылтайшылық құжаттары, сипаттамасы
Білім беру қызметіне қойылатын біліктілік талаптар
КҮНДЕЛІК
САУАЛНАМА
ҚОСЫМШАЛАР
Әлеуметтік педагог
ПЕДАГОГ-ПСИХОЛОГ
Өзін-өзі бағалау бойынша сараптама
Өзін -өзі бағалау №2 қосымша
РЕСПУБЛИКАЛЫҚ ЖЕТІСТІКТЕР
Біз туралы
Нормативтік құжаттар
Тарихымыз
Әкімшілік
Мұғалімдер
Жетістіктеріміз
Кітапхана
Әдістемелік жұмыстар
Ата-аналарға
Галерея
Байланыс
Әдістеме
Салауатты өмір салты
Видеосабақтар
Әдістемелік кеңес
Семинар, Коучинг
Ашық сабақтар
Оқушыларға
Оқушылар жетістіктері
Оқушыларға ақпараттар
Сабақ кестесі
Олимпиада
ҰБТ
Спорттық секциялар
Үйірмелер
Робототехника
Ыстық тамақ
Ас мәзірі
Сапалық мониторинг
Келісім шарттары
Ашық орган
Сыбайлас жемқорлыққа қарсы іс-қимыл
Қамқоршылық кеңес
Мемлекеттік қызмет
Ашық бюджет
Бекітілген бюджет
Қаржылық қызметтің негізгі көрсеткіштері
Мемлекеттік сатып алу жоспары
Ашық конкурс
Жеке қаржыландыру жоспары
Табу
Шымкент қаласының білім басқармасының «Н.Оңдасынов атындағы №38 мектеп-гимназиясы» ШЖҚМК
»
Ыстық тамақ
»
Келісім шарттары
» Келісім-шарт 2019-2020 оқу жылы
29
декабрь
2021
0
1
2
3
4
5
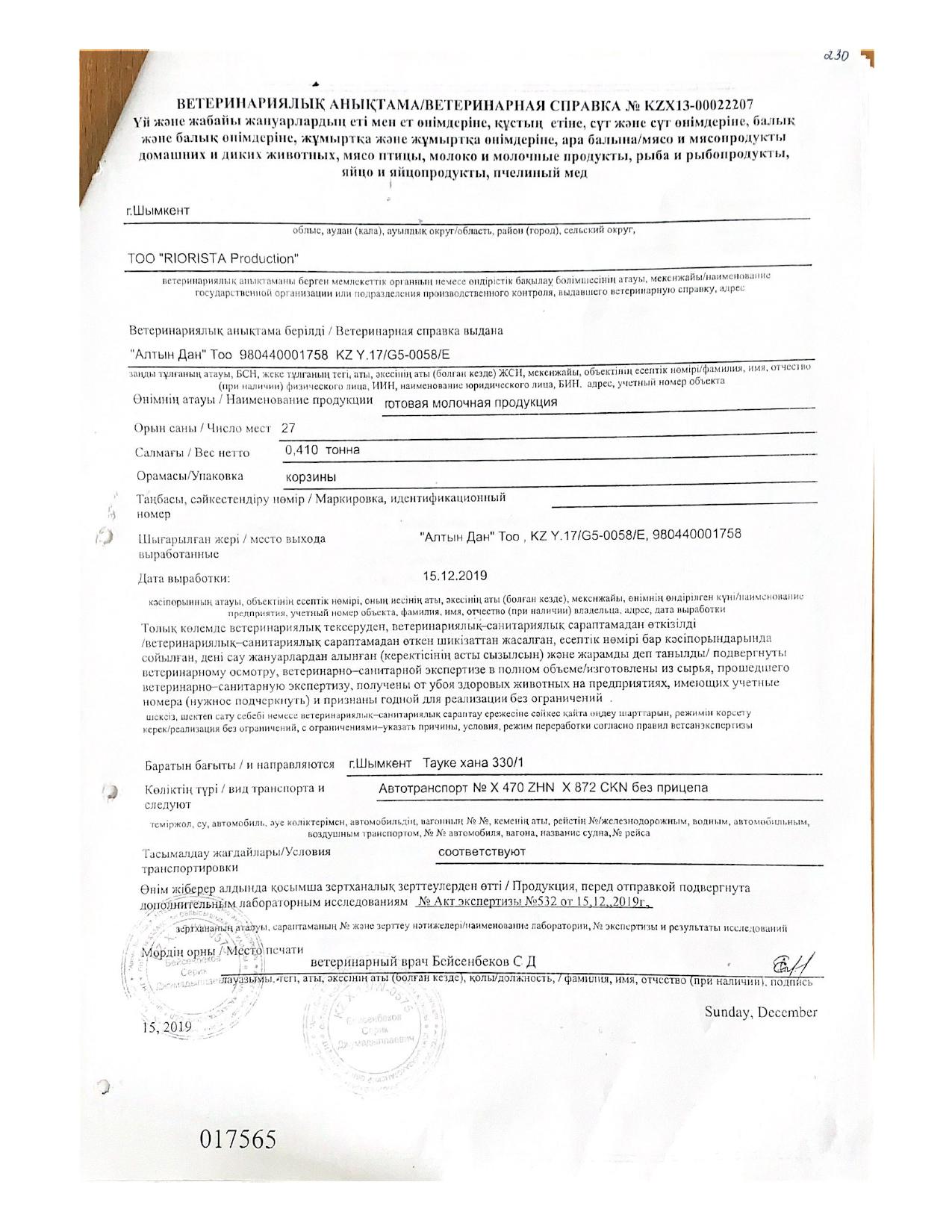
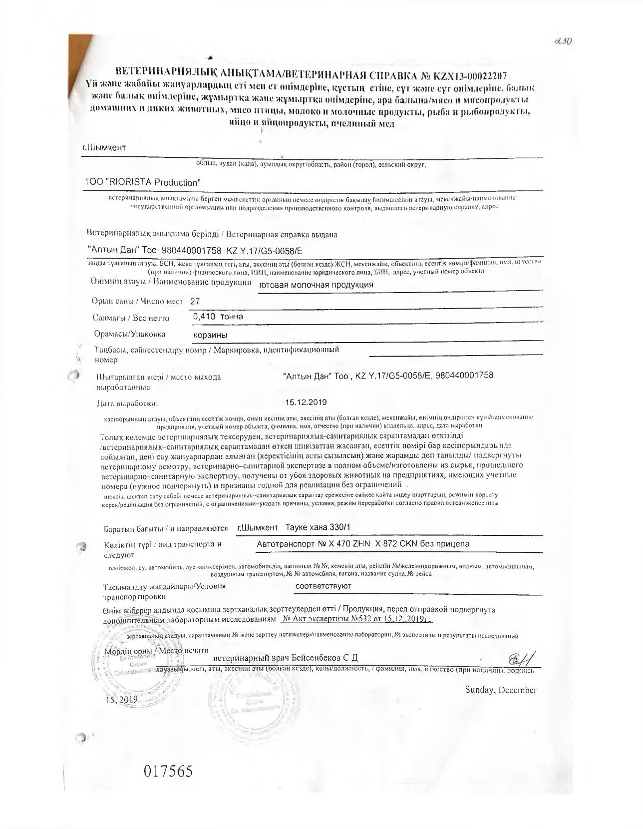
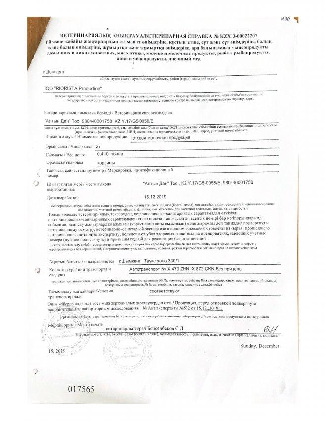
Келісім-шарт 2019-2020 оқу жылы
Келісім-шарт 2019-2020 оқу жылы
Похожие публикации:
29 декабрь 2021
Келісім-шарт 2021-2022 оқу жылы
28 декабрь 2021
Мектептік тамақтандыру 2019 жыл
15 декабрь 2021
Жусупова Аймана Султанбековна
22 сентябрь 2020
"Жаңа оқу жылында қалай оқимын?"
22 сентябрь 2020
"2020-2021 оқу жылында оқу процесін ұйымдастыру"
Прокомментировать
Введите код с картинки:
*
Отправить
Авторизация
Войти на сайт
Чужой компьютер
Забыли пароль?
Регистрация